VIE EEG Headphone
研究グレードの脳波データを、
かつてない手軽さで。
研究用脳波計
外部トリガーを計測でき、ERP解析対応。
高精度データが、脳研究の新たな扉をひらく。

研究用脳波計
外部トリガーを計測でき、ERP解析対応。
高精度データが、脳研究の新たな扉をひらく。



※既存のウェット式研究用脳波計との比較。本製品は研究用機器です。診断に用いることはできません。
ヘッドホンを装着するように、わずか1分で計測が始まる。従来、セットアップに費やしていた時間は、もう必要ありません。あなたの洞察や分析を、もう誰にも中断させない。
完全ワイヤレスが、あなたと被験者を実験室から解放する。VR空間、オフィス、家の中…。人々が生きるリアルな環境で、本物のインサイトを発見する旅が、今ここから始まる。
小型でありながら、外部トリガー入力が可能で、また、LSL(Lab Streaming Layer)に対応することで、様々なイベントと同期が可能。研究の幅が格段に広がる。
フレキシブルなドライ電極で装着。
エルゴノミックデザインの追究。
髪をかき分け、頭皮に優しくフィット。ジェルの不快感も、面倒な準備もありません。あらゆる頭部データに基づき設計。長時間の装着でも、被験者の集中力を妨げません。さらに頭部の中心線上で電極位置を動かし、計測ポイントを変えることが可能に。

外部トリガーで、事象を逃さず同期。
ERP解析が可能に。
外部イベントと脳波データをミリ秒単位で同期させる、外部トリガー入力に対応。さらに、独自の技術(特許出願中)により、オーディオ信号を分岐してトリガー入力するワイヤレス同期も実現。これにより、完全ワイヤレスの計測環境を維持したまま、聴覚刺激提示(ASSR、ERPなど)における正確なタイミング記録が可能に。

LSL接続、OSC転送で、
計測から解析まで、シームレスに。
直感的なソフトウェアとオープンな連携性で、あなたの研究をスムーズに加速。標準でLSL(LabStreamingLayer)接続、OSC転送に対応。アイトラッカーやVRシステムと、ミリ秒単位での正確な同期を実現。また、Python (MNE-Pythonなど) や MATLAB (EEGLABなど) を用いた、オフライン/オンラインでの高度なデータ解析を強力にサポート。

研究のゴールドスタンダード、
データのクオリティ。
私たちは、既存のウェット式研究用脳波計との同時計測実験を実施。VIE EEG Headphoneが、極めて高い同等性を持つことを客観的に証明。



Resting State課題の結果は、開眼安静条件において、ウェット式研究用脳波計との相関係数は、Power解析で0.99、Relative Power解析でも0.99という極めて高い値を示した。閉眼安静条件では、さらに高い相関係数(Power: 0.99、Relative Power: 0.99)が得られた。

MMN(ミスマッチ陰性電位)課題の結果は、ウェット式研究用脳波計で耳朶参照を用いた条件において、VIE EEG Headphoneとの相関係数は、差分波形で0.99という極めて高い値を示した。これらの値は、ドライ式電極とウェット式研究用脳波計が実質的に同一の波形パターンを捉えていることを示している。

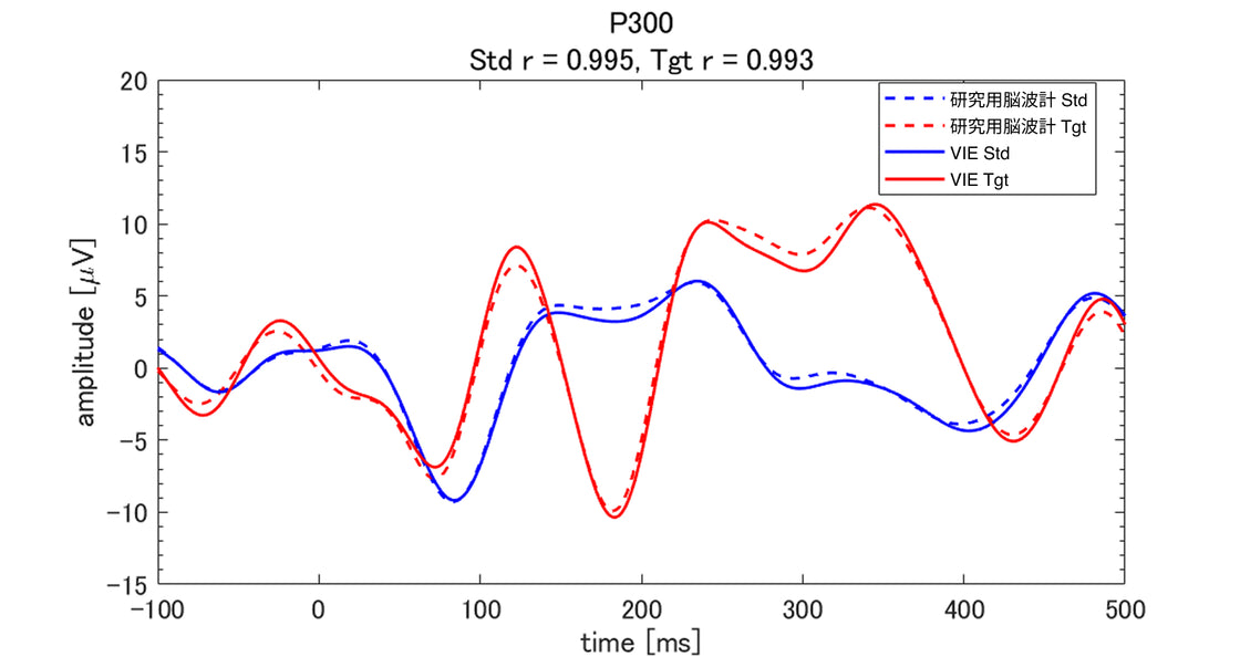
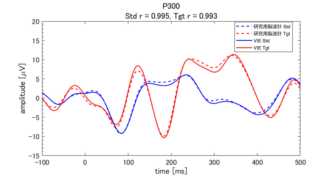
P300課題の結果は、Standard(標準)刺激での相関係数は0.99、Target(逸脱)刺激での相関係数は0.99という結果となった。

ASSR課題の結果は、両デバイスの時間-周波数マップは極めて高い類似性を示している。この脳の同期応答は、刺激開始時点(Time = 0秒)からすぐには現れず、約0.1秒の遅延をもって立ち上がっており、物理的な振動を拾ったのはなく、脳活動であることを示している。
「Brain Techの産業化」を目指し、約4年前にVIE社にジョインしました。産業化には、神経科学的なエビデンスに基づくアプリケーション開発が重要であり、その基盤として、既存の医療・研究用デバイスと同程度の計測精度を持つ簡易脳波デバイスが必要だと考え、その開発に協力しました。完成したデバイスは、髪の毛がある頭皮上でも既存の研究用脳波デバイスとほぼ同等の精度で脳波を計測できる点が最大の特徴です。さらに、外部トリガーに対応し、事象関連電位の計測も可能です。これにより、実環境での脳波計測を想定した応用研究に最適であり、Brain Techの新たな時代を作ってくれるデバイスであると確信しています。
Q. VIE EEG Headphoneと、従来のウェット電極脳波計との違いは何ですか?
A. 最も大きな違いは、セットアップの手軽さと、計測環境の自由度です。VIE EEG Headphoneは独自のドライ電極技術により、ジェル等を必要とせず1分程度の準備で計測を開始できます。これにより、従来のウェット電極脳波計では難しかった、より自然な環境下での長時間計測や、お子様・高齢者といった被験者への負担を最小限に抑えた実験が可能になります。データの品質については、本ページ(セクション5)に記載の通り、ウェット電極方式との高い相関性が確認されています。
Q. どのような形式で脳波データを出力できますか?
A. 専用ソフトウェア「VIE Streamer」から、CSV形式および脳波研究の標準フォーマットであるEDF形式での生データエクスポートに対応しています。
Q. リアルタイムで生データにアクセスできますか?
A. はい、可能です。標準でLSL(LabStreamingLayer)に対応しているため、PythonやMATLABなど使い慣れた開発環境で、リアルタイムの脳波データストリームにアクセスし、独自のアプリケーションを開発いただくことが可能です。
Q. 外部イベントとの正確な同期(トリガー入力)は可能ですか?
A. はい、可能です。外部トリガー入力ポートを備えています。さらに、独自の技術(特許出願中)により、オーディオ信号を分岐してトリガー入力するワイヤレス同期も実現しました。これにより、完全ワイヤレスの計測環境を維持したまま、聴覚刺激提示(ASSR、ERPなど)における正確なタイミング記録が行えます。
Q. インピーダンス(電極の接触状態)は確認できますか?
A. はい、専用ソフトウェア「VIE Streamer」上で、各電極のインピーダンスをリアルタイムで確認いただけます。これにより、計測開始前に良好なデータ品質を確保することが可能です。
Q. バッテリーはどのくらい持ちますか?
A. 連続計測時で、約7時間のバッテリー駆動が可能です。
Q. 価格や詳細な仕様が知りたいです。
A. 本ページ上部(または下部)のボタンより、技術資料・価格表をダウンロードいただけます。ご不明な点があれば、お気軽にお問い合わせください。
Q. アカデミック価格はありますか?
A. はい、大学・公的研究機関様向けのアカデミック価格をご用意しております。詳細はお見積りの際にご案内いたしますので、お問い合わせください。
Q. 購入前に製品を試すことはできますか?
A. オンラインでの製品デモンストレーションを随時受け付けております。本ページのボタンよりご希望の日時をご予約ください。また、条件次第で期間限定での評価機貸し出しプログラムもございますので、ご相談ください。
Q. 製品の保証期間とサポート体制について教えてください。
A. 製品には、ご購入から1年間のメーカー保証が付帯します。導入後の技術的なご質問やトラブルシューティングについては、専門のサポートチームがメール等で迅速に対応いたします。
Q. 脳波データの解析や、共同研究の相談も可能ですか?
A. はい、可能です。弊社にはニューロサイエンティストとエンジニアが在籍しておりますので、お客様の課題に応じたデータ解析の受託や、アプリケーションの共同開発、共同研究のご相談も承っております。まずはお気軽にご連絡ください。
Q. 問い合わせ先を教えてください。
A. 製品に関するお問い合わせ、お見積りのご依頼は、biz@vie.styleまでお気軽にご連絡ください。または、本サイトのお問い合わせフォームもご利用いただけます。